Didattica in rete
.

L'isieme dei numeri irrazionali, sottoinsieme proprio dell'insieme dei numeri reali, è costituito da numeri non esprimibili come numeri razionali. Di questi numeri possiamo calcolare valori che sempre meglio approssimano il valore richiesto. Ad esempionon è esprimible in nessun modo come un numero razionale. Al massimo possiamo affermare che è un numero compreso tra:.

Quali sono le operazioni che possiamo effettuare su questi numeri?

  • Li possiamo sommare
  • Li possiamo moltiplicare?
  • Come risolvere espressioni con termini irrazionali?
  • Come risolvere le equazioni contenenti coefficienti irrazionali?

Premesse

Radice emmesima di x alla n. x alla n prende il nome di radicando.
Ad esempio è la radice settima di 2 alla terza, in altri termini è quel numero che elevato alla sette da per risultato 8.
La radice quadrata si scrive non riportando l'indice 2
la radice ad indice 1 è il radicando (dalla definizione!).

Prima proprietà

semplificando indice della radice e l'esponente del radicando per uno stesso numero si ottiene lo stesso numero irrazionale. Ad esempio
Nel caso del prodotto di due termini possiamo applicare questa proprietà. Ad esempio .

Non si può assulatamente utilizzare la proprietà di semplificazione nel caso della somma.

Ad esempio La radice quadrata di tredici non fa cinque!

QUESTO E' UNO DEGLI ERRORI PIU' GRAVI CHE VENGONO COMMESSI! (EVITIAMOLO!)

Semplificando per l'indice di radice si ottiene una radice di indice 1 e pertanto si ottiene x. Ad esempio può essere scritto come radice cubica di 2 alla terza e quindi vale 2.

Primi esercizi svolti

Analizziamo lo svolgimento dei seguenti esercizi:

1° caso

1 Scomporre in fattori ogni numero presente
2 Utilizzando la proprietà delle potenze trasformare in una frazione elevata al MCD tra gli esponenti
3 Semplificare indice ed esponente per lo stesso numero (il loro MCD).
4 Fare eventuali calcoli

Avremmo potuto evitare l'operazione numero 2 semplificando immediatamente tutti i termini per il MCD tra gli esponenti e l'indice della radice.

2° caso

1 Scomporre in fattori l'espressione algebrica presente
2 Semplificare indice ed esponente per lo stesso numero (il loro MCD).
4 Avendo semplificato per 2 ed essendo rimasta una espressione letterale, è obbligatorio mettere tale espressione in un modulo

3° caso

1 Scomporre in fattori ogni polinomio presente
2 Semplificare se possibile (in questo caso per (a-b))
3 Semplificare indice ed esponente per il MCD (esponenti-indice di radice
4 Mettere se necessario il modulo (in questo caso si!).

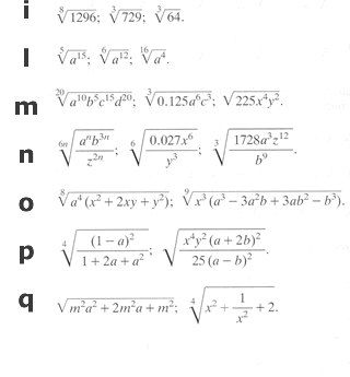
Esercizi da svolgere

Primi esercizi

Ricordarsi la prima definizione di numero irrazionale!

Semplificazioni

Il radicando può essere negativo se l'indice di radice è un numero dispari.

Semplificazioni con polinomi